인터넷이란?
인터넷을 배우기 전에는 TCP/IP의 개념부터 명확히 짚고 넘어가야 된다.
TCP/IP란?
TCP/IP가 나타난 이유는 통신을 위해서이다
TCP/IP는 컴퓨터와 컴퓨터간의 지역네트워크(LAN) 광역네트워크(WAN)에서 원활한 통신을 가능하도록 하기 위한 통신규약이다.
컴퓨터 간의 통신을 위해서 TCP/IP를 선택한 이유는 TCP/IP의 개방성에 정답이 있다.
즉, 하드웨어와 운영체제, 접속 매체에 관계 없이 동작할 수 있다는 점 때문에 인터넷 통신을 위한 핵심으로 선택된 것이다.
이름에서부터 알 수 있는 것처럼 TCP, IP 두 개의 프로토콜이 이루어져 있다. 그 이유는 IP 기반에 TCP가 사용되어서 이렇게 불리어지는 것이다. 쉽게 말해 IP 프로토콜(통신 규약) 위에 TCP 프로토콜이 놓여져 있는 거다.
1) IP
네트워크 상에서 컴퓨터는 고유한 주소가 있다. 컴퓨터의 주소는 인터넷에 접속할 때 컴퓨터 각각에 부여받는다.
이 주소는 총 4 Byte 로 이루어져 있다.
2) TCP
클라이언트와 서버 간에 데이터를 신뢰성 있게 전달하기 위해 만들어진 프로토콜이다.
그리고 TCP는 근거리 통신망(LAN), 원거리 통신망(WAN), 인트라넷, 인터넷 등 컴퓨터에서 실행되는 프로그램 간에 일련의 데이터를 안정적이게 순서대로 에러 없이 데이터를 교환할 수 있게 한다.
인터넷은 각 컴퓨터들 간의 TCP/IP 통신 프로토콜을 이용해서 서로 데이터를 주고 받도록한 네트워크이다.
또는 네트워크의 네트워크를 구현하여 모든 컴퓨터를 하나의 통신망 안에 연결하고자 하는 의도에서 인터넷이라고도 한다.
네트워크
두 개의 컴퓨터가 통신이 필요할 때, 우리는 다른 컴퓨터와 물리적(이더넷 케이블) 또는 무선(Wi-Fi, 블루투스)으로 연결되어야 한다. 모든 현대 컴퓨터들은 이러한 연결 중 하나를 이용하여 연결을 지속할 수 있다.

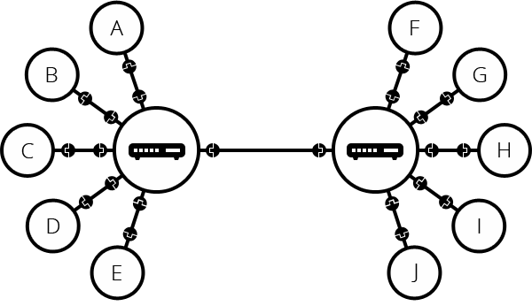
이러한 네트워크는 두 대의 컴퓨터로 제한되지 않고 원하는 만큼의 컴퓨터를 연결할 수 있다. 하지만 여러 개 연결할 수록 매우 복잡해진다.

예를 들면 위 그림과 같이 열 대를 연결하려는 경우 컴퓨터 당 9개의 플러그가 달린 45개의 케이블이 필요하다.
이 문제를 해결하기 위해 쓰여지는 것이 라우터이다. 라우터는 특수한 소형 컴퓨터로 여러 대의 컴퓨터의 통신을 도와준다.
밑 그림과 같은 역할을 해 주는 것이 라우터이다.

하지만 수백, 수천, 수억 대의 컴퓨터를 연결하려면 단일 라우터로 부족하다.

위와 같이 라우터끼리 연결해 주면 무한히 확장할 수 있다.
네트워크의 네트워크를 구현하여 모든 컴퓨터를 하나의 통신망에 연결하는 게 인터넷이다. 이러한 네트워크가 우리가 인터넷이라고 부르는 거에 가깝지만 중요한 게 있다. 아주 먼 곳에 있는 지역과는 케이블 연결이 불가능하다. 이러한 연결을 가능하게 하려면 모뎀이라는 장비가 필요하다. 이 모뎀은 우리 네트워크의 정보를 전화 시설에서 처리할 수 있는 정보로 바꾸며, 그 반대의 경우도 마찬가지다.

그래서 우리의 네트워크는 전화 시설에 연결된다. 다음 단계는 현재 네트워크에서 도달하려는 네트워크로 메시지를 보내는 것이다. 그렇게 하기 위해 네트워크를 인터넷 서비스 제공 업체 (Internet Service Provider, ISP)에 연결한다. ISP는 모두 함께 연결되는 몇몇 특수한 라우터를 관리하고 다른 ISP의 라우터에도 접근할 수 있는 회사이다.
따라서, 네트워크의 메시지는 ISP 네트워크의 네트워크를 통해 대상 네트워크로 전달된다. 인터넷은 이러한 전체 네트워크 인프라로 구성된다.
⊙ ISP를 쉽게 예로 들자면 LG U+, KT, SKT 등이 있다

순서를 따지자면
1. 컴퓨터와 컴퓨터를 케이블 또는 무선 연결
2. 개수가 많아지면 복잡해지기 때문에 라우터 사용
3. 단일 라우터로는 몇백, 몇천 대 연결은 불가능하기 때문에 라우터와 라우터를 연결
4. 거리가 먼 지역은 케이블과 무선으로 연결이 불가능
5. 네트워크에서 도달하려는 네트워크로 데이터를 보내기 위해 ISP에 연결
이렇게 네트워크가 동작하는 원리에 대해 공부해 보았다
참고 자료
https://development-crow.tistory.com/3
https://developer.mozilla.org/ko/docs/Learn/Common_questions/How_does_the_Internet_work
'CS' 카테고리의 다른 글
| 브라우저와 작동 원리 (0) | 2023.01.06 |
|---|---|
| GET과 POST의 차이 (0) | 2023.01.04 |
| CI/CD (0) | 2022.12.27 |
| HTTP란? (0) | 2022.12.25 |
